Catalog Products |
|
| Chelators | | | Synthesis Accessories | | | 合成试剂 | | | 合成树脂 | |
|
 |
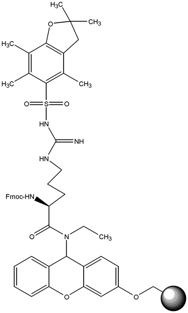
| Product | Fmoc - Arg(Pbf) - ethylamide - Sieber resin N - α - Fmoc - N - γ - 2,2,4,6,7 - pentamethyldihydrobenzofuran - 5 - sulfonyl - L - arginine - ethylamide - Sieber resin | | CAS | N - α - Fmoc - N - β - trityl - L - asparagine - HMP - TentaGel resin | | Size | 1 g | | Catalog # | 60109 | | US$ | 215 | | Hits | |
| Description |

|
| Storage |
4°C |
|
|