登陆
报价
下单
联系我们
主页
客户肽合成
多肽分析服务
目录产品
资源中心
优惠中心
非GMP肽
高效肽库合成
大罗多肽合成
多肽修饰
肽基似物
GMP肽
氨基酸分析
测肽序
测肽含量
测水分
相对离子含量检测
质量平衡
溶解度测试
HPLC纯度
质谱
保护氨基酸
标准氨基酸
特殊氨基酸
偶联剂和树脂
合成试剂
合成树脂
目录肽
药物肽
美容肽
研发肽
二肽
技术说明
MSDS文件
目录下载
多肽业动态
新客户折扣
大订单折扣
同事推荐优惠
Catalog Products
Chelators
Synthesis Accessories
合成试剂
合成树脂
您的位置:
主页
>
Catalog Products
>
偶联剂和树脂
>
合成树脂
Product
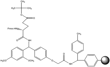
Fmoc - D - Glu(OtBu) - Rink Amide - MBHA resin
N - α - Fmoc - D - glutamic acid γ - t - butyl ester - Rink Amide
CAS
N - α - Fmoc - L - proline - Rink Amide - MBHA resin
Size
1 g
Catalog #
53984-1
US$
143
Hits
Description
Storage
4°C
版权所有 成都凯捷生物医药科技发展有限公司 All rights reserved.
电话:028-88268610,88203630,88203631,88203633 Email:sales@kjpep.com
蜀ICP备19030014号-1