鐧婚檰
鎶ヤ环
涓嬪崟
鑱旂郴鎴戜滑
涓婚〉
瀹㈡埛鑲藉悎鎴
澶氳偨鍒嗘瀽鏈嶅姟
鐩綍浜у搧
璧勬簮涓績
浼樻儬涓績
闈濭MP鑲
楂樻晥鑲藉簱鍚堟垚
澶х綏澶氳偨鍚堟垚
澶氳偨淇グ
鑲藉熀浼肩墿
GMP鑲
姘ㄥ熀閰稿垎鏋
娴嬭偨搴
娴嬭偨鍚噺
娴嬫按鍒
鐩稿绂诲瓙鍚噺妫娴
璐ㄩ噺骞宠
婧惰В搴︽祴璇
HPLC绾害
璐ㄨ氨
淇濇姢姘ㄥ熀閰
鏍囧噯姘ㄥ熀閰
鐗规畩姘ㄥ熀閰
鍋惰仈鍓傚拰鏍戣剛
鍚堟垚璇曞墏
鍚堟垚鏍戣剛
鐩綍鑲
鑽墿鑲
缇庡鑲
鐮斿彂鑲
浜岃偨
鎶鏈鏄
MSDS鏂囦欢
鐩綍涓嬭浇
澶氳偨涓氬姩鎬
鏂板鎴锋姌鎵
澶ц鍗曟姌鎵
鍚屼簨鎺ㄨ崘浼樻儬
Catalog Products
Chelators
Synthesis Accessories
鍚堟垚璇曞墏
鍚堟垚鏍戣剛
鎮ㄧ殑浣嶇疆锛
涓婚〉
>
Catalog Products
>
鍋惰仈鍓傚拰鏍戣剛
>
鍚堟垚鏍戣剛
Product
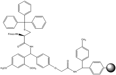
Fmoc - Cys(Trt) - Rink Amide - MBHA resin
N - 伪 - Fmoc - S - trityl - L - cysteine - Rink Amide - MBHA resin
CAS
N - 伪 - Fmoc - glycine - Rink Amide - MBHA resin
Size
1 g
Catalog #
20923
US$
99
Hits
Description
Detailed Information
Material Safety Data Sheets (MSDS)
Storage
4掳C
鐗堟潈鎵鏈 鎴愰兘鍑嵎鐢熺墿鍖昏嵂绉戞妧鍙戝睍鏈夐檺鍏徃 All rights reserved.
鐢佃瘽锛028-88268610,88203630,88203631,88203633 Email锛歴ales@kjpep.com
铚ICP澶19030014鍙-1