Catalog Products |
|
| Chelators | | | Synthesis Accessories | | | 合成试剂 | | | 合成树脂 | |
|
 |
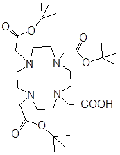
| Product | DOTA - tris(tert - butyl ester) NEW1,4,7,10 - tetraazacyclododecane - 1,4,710 - tetraacetic acid tri - tert - butyl ester;Tri - tert - butyl 1,4,7,10 - tetraazacyclododecane - 1,4,7,10 - tetraacetate | | CAS | | | Size | 100 mg | | Catalog # | 65457-01 | | US$ | 70 | | Hits | |
| Description |

|
| Storage |
4C |
| Molecular Weight |
572.73 |
| Molecular Formula |
C28H52N4O8 |
|
|